《投龙》| 一种中国古代特有的山川祭祀活动
端午节吃粽子的习俗起源于中国古代对龙的祭祀 #生活知识# #生活小知识# #时节习俗#
李零:他是一眼定终身,爱上中国
——《投龙》中文版首发!
1893年6月,年仅28岁的沙畹带着他的《史记》法译稿,从北京赶回巴黎,就任法兰西公学“汉满鞑靼语言文学”第四任讲席教授,并由此开启了法国汉学的百年辉煌。
他摆脱了前代汉学家的局限,既熟悉中国文献,又对中国文化有切身体验。作为巴黎学派的领军人物,其学术成果和治学方法对整个西方汉学界影响深远。
他跟以往的前辈学者不同,两次来中国(1889—1893 和1907—1908),两次登泰山(1891和1907),与中国有直接而广泛的接触。《封禅书》讲山川祭祀,让他迷上泰山,泰山有投龙碑,让他迷上投龙,一发而不可收。
《泰山》出版于1910 年,正当其盛年;《投龙》出版于1919 年,已在身后。他是一眼定终身,爱上中国。
——李零

投龙之金龙 江苏金坛薛埠镇东进村采石场出土
沙畹从1890年出版其首部汉学作品《〈史记·封禅书〉译注》开始,到《泰山:一种中国信仰专论》(1910 年),再到《投龙》,始终致力于“将宗教名山和仪轨纳入政治史的脉络,追究的是天、地、人、神之间的关系,也就是古代中国的圣地政治学”。
一百多年后,《投龙》首个中文版终于出版!
为大家分享李零教授撰写的序文,从他者视角了解中华悠久文化之魅力。
一

我有一个梦,有一天, 在山东办泰山展,在杭州办投龙展,纪念沙畹。沙畹去世已经一百零六年。
我曾三次登泰山,两次都是当天上去当天下来,并不在山上住。只有一次是例外,李孝聪教授约我登泰山看日出,夜宿泰山顶。第二天天不亮,我们穿上租借的羽绒服,在拱北石旁看日出,等呀等,啥也没看见,但刚刚过去的那个夜晚,我忘不了。凭栏远眺,山下的泰安城,灯火通明;仰望夜空,北斗横陈,星汉灿烂。我说,你瞧, 这不就是大家常说的“泰斗”吗?我们是在泰山顶上看北斗。

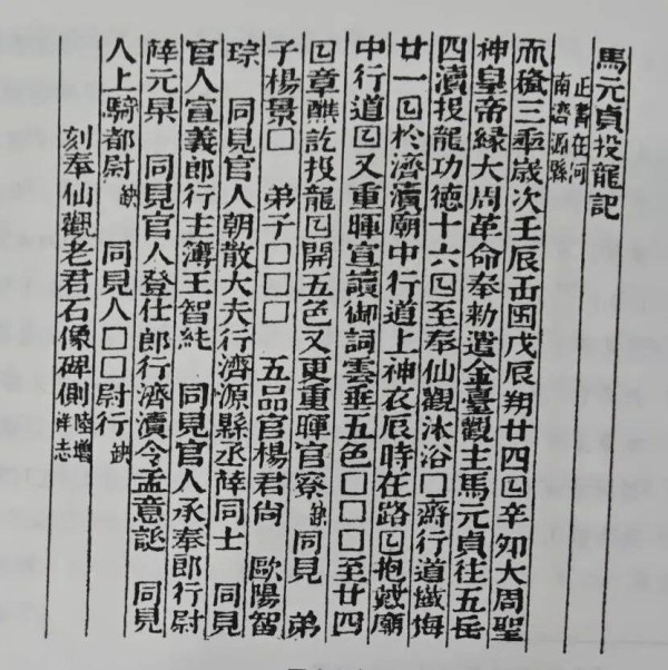
692年2月17日道士马元贞投龙的地方
泰山是五岳中名胜最著者,济渡则为四渎之中道士最常前往之处。692年2月17日道士马元贞被高宗的遗孀武后任命前往五岳四渎宣告大周革命,即易唐为周。马氏先后在691年3月和692年2月投龙于东岳泰山、北渎济源,这似乎就是以武后之名来举行宗教仪式的官方巡历。
沙畹说:
词语“泰山北斗”,或简称为“山斗”,意指一个杰出人物,为了表明其出众,最为恰当的比喻即是将其比作最著名的山岳和星宿。人们今天仍旧在墓铭上方镌刻的“山斗”二字,并无他意,正是对逝者的至高赞美。(《泰山》结论)
泰山,五岳独尊。大河东流,天上的星星朝北斗。沙畹就是一位泰斗级的人物。他是 20世纪法国汉学的一代宗师。伯希和、马伯乐、葛兰言,他有一批学生,个个都了不起。
今天,沙畹已经是历史研究的对象。他的汉学研究是从翻译《史记》开始的。《史记》的法文译本,陆陆续续出版,共五册(1895—1905),只译了四十七篇(三分之一强),到死也没翻完,但开了个很好的头。他译《史记》,首先迷上的是《封禅书》。1890年,《封禅书》的法文译本出版,他才二十五岁。他是靠翻译《封禅书》才一举成名,当上法兰西公学“汉满鞑靼语言文学”讲席的第四位教授(1893)。
他跟以往的前辈学者不同,两次来中国(1889—1893和1907—1908),两次登泰山(1891和1907),与中国有直接而广泛的接触。《封禅书》讲山川祭祀,让他迷上泰山,泰山有投龙碑,让他迷上投龙,一发而不可收。《泰山》出版于1910年,正当其盛年;《投龙》出版于1919年,已在身后。唐韦庄词有句话,“妾拟将身嫁与,一生休”(《思帝乡·春日游》),他是一眼定终身,爱上中国。
万事起头难。 沙畹的贡献在于,他提供了一种认识中国的角度——从中国的宗教传统认识中国,因此开辟了一个全新的研究领域。有句老话最贴切,“别有洞天”。
《泰山》的中文译本已经出版,我读过,很享受。《投龙》的中文译本即将出版,汲喆把译稿寄给我,希望我写点什么,我读过,欣然从命。
二
《投龙》分两部分。第一部分是“金石资料”,第二部分是“专题文献”。第一部分分两章,第一章写投龙简,第二章写投龙碑。
(一)投龙简,书中所收,只有三枚:
1.开元二十六年(738)唐玄宗在衡山紫盖峰朱陵洞(三十六洞天之第三,又名水帘洞)投龙潭投放的铜简,背面加刻宝应元年(762)道士张奉国的铭文,现藏贵州省博物馆。
2.宝正三年(928)五代吴越王钱镠在苏州林屋洞(十大洞天之第九)投放的银简,已被销毁。
3.宝正三年(928)五代吴越王钱镠的玉简,铭文同前者。钱镠的投龙简都是银简,此铭是抄银简,器、铭皆伪。
(二)投龙碑,书中所收,包括:
1.山东泰安:唐显庆六年至贞元十四年(661—798)泰山岱岳观双碑(现藏岱庙)、唐乾封元年(666)和开元二十三年(735)泰山碑。
2.河南济源:唐天授三年(691)《马元贞投龙记》、元至大四年(1311)《投龙简记》和延祐二年(1316)《投奠龙简记》,都是济渎庙的投龙碑。《投龙简记》是赵孟

书。
3.北京房山孔水洞:唐开元二十七年(739)《大房山投龙璧记》。
4.山东益都云门山:唐天宝十二载(753)《云门山投龙诗刻》。
5.江西南城:唐大历六年(771)《麻姑仙坛记》,颜真卿书。
6.陕西华阴:宋大中祥符九年(1016)《张怀彬投龙记》(刻于唐《述圣颂》碑额“述”字下),是西岳庙的投龙碑。
7.陕西临潼:金大安三年(1212)投龙碑。
8.河南偃师:金崇庆元年(1212)投龙碑,与偃师缑氏镇白鹤观有关。
9.河南登封:元至大四年(1311)投龙碑,与中岳和中岳庙有关。
沙畹所用主要是投龙碑,目前仍可补充,但比较有限,如唐睿宗景云二年(711)《响堂山投龙记》、唐玄宗先天二年(713)《羊角山投龙记》。

泰山岱岳观西碑南面第一层拓本
碑文记录了武则天时期(698年1月19日)投龙
第二部分分两章。第三章讲“宗教地理学”,先据《全唐文》介绍杜光庭生平,然后据杜光庭《洞天福地岳渎名山记》和清代《古今图书集成·洞天记》考证道教的十大洞天和三十六洞天。 第四章讲投龙仪,为杜光庭《太上灵宝玉匮明真大斋言功仪》作注。
最后是结论。 沙畹把投龙放进道教洞天的谱系讲,关注点是唐以来的道教。
沙畹是法国铭文与美文学院的院士。出土铭刻与传世文献互证,不仅是法国铭文与美文学院的学术传统,也是宋代金石学和罗王之学代表的中国学术传统。借助“五大发现”,中法一直有学术交流。 但投龙类的文物是王国维所说“五大发现”外的“发现”,严格讲是“再发现”。其实,考古发现都是“再发现”。问题乍看不起眼、冷门,但牵涉面极广。
投龙是个历史悠久、分布甚广的祭祀活动。上述材料只是历史留下的九牛一毛,很多投龙遗物还在万水千山中睡大觉,不可能一网打尽。 “有一分材料讲一分话”或“有十分材料讲一分话”,光靠堆积材料做学问,那叫勤奋。聪明者在于洞察力,举一反三,举一反十,启发后人,给自己给别人都留下充分的想象空间。 沙畹是个聪明人,他能从极其有限的材料发现大问题、真问题,发现很多被人忽略的问题,这点最可贵。
三
2014年,应法兰西公学邀请,参加“雷慕沙及其后继者:法国汉学200周年纪念”研讨会,我在发言中说, 投龙是个没有讲完的故事,我们应该接着讲。怎么讲?现在想想,我有三点建议。
第一,扩充例证。这次在杭州举办 “投龙——从山川祭祀到洞天福地”展(2024年12月1日—2025年3月2日),我们汇集全国四十家博物馆的藏品,大大超出《投龙》搜集的资料。如投龙仪式照例要用简、璧、绳、钮、龙。沙畹所论,只有唐玄宗投龙简和钱镠投龙简各一枚。目前,这五项均有不少实例可以补充。如唐代帝后投龙简,可补嵩山峻极峰出土武则天投龙简(金简);五代吴越王投龙简,出土十一枚(银简);宋代帝王投龙简,出土十一枚(玉简)。投龙璧,南宋赵伯沄墓出土南唐李昪投于西山洞府的玉璧,系绳带玉管,很精美。明定陵和董四墓出土的投龙璧分圆形、方形、六角形三种,可以印证道教文献的有关记载:圆璧配山简,祭天;方璧配土简,祭地;六角形璧配水简,祭水。钮,以前不了解,苏州林屋洞出土金钮二,缙云仙都山出土金钮三,襄垣仙堂山出土鎏金铜钮一,均作环状,使我们大开眼界。金龙,数量相当大,有些很精美,如西湖所出南宋金龙。
第二,拓宽视野。沙畹考证洞天,认为:
十大洞天大概在公元500 年前后便已为人所知,因为陶弘景确实将他的隐居之地说成十大洞天中的第八天。……
其地理定位并没有那么清楚,尽管其中三处位于浙江(第二、六和十洞天),两处位于江苏(第八和九洞天),但无法据此得出任何结论。……
“洞天”这个复合词足以证明三十六洞天出于十大洞天之后。对其所录地名的考察表明,三十六洞天直到唐代才形成,亦即晚于618 年。这些地名与唐代使用的地名均能对应,而且其中一些和唐代以前的地名并不一致。需要补充的是,我所见洞天中和投龙相关的地点对应的均为三十六洞天,似乎三十六洞天和投龙仪式有着某种关联,而金龙玉简的使用似乎亦始见于唐,这种年代对应倾向于证实三十六洞天的体系是在唐代才形成的,大概在公元7 世纪。
尽管目前仍未发现早于唐代的投龙简、投龙碑,三十六洞天的形成很可能在唐代,但《典略》可以证明,投龙活动肯定早于唐代。
第三,追本溯源。沙 畹研究投龙,背景是泰山,研究泰山,背景是《封禅书》。我很关注他的原点,他对《封禅书》的研究。《封禅书》讲山川祭祀,那时还没道教,但唐代道教与早期道教,早期道教与前道教肯定有关。如杜光庭称,十大洞天的洞主都是汉晋甚至更早的人物,最晚是葛洪,王屋在北方,青城在四川,都暗示它与早期道教有关;三十六洞天集中在江苏、浙江、福建、安徽、江西、湖北、湖南、广东、广西,从北方转向东南,但它们与早期《封禅书》列举的名山大川仍然有交叉,如第二至第六洞天是五岳,泰山、衡山、华山、恒山、嵩山,第十是会稽山,第十一是太白山,第十四是潜山天柱山,第二十三是九嶷山。
《诅楚文》“箸(书)者(诸)石章(璋)”,秦骃玉版酷似投龙简,包山楚简为祷病择日,与投龙简的释罪祈愿也不无相似之处。下站遗址(密畤)出土小金龙。秦骃玉版提到介圭、吉璧、吉钮,包山楚简提到环、钮、璧、琥,其中都有钮。这些都值得关注。
我理解, 《封禅书》的山川祭祀制度代表的是中国古代“天下观”。它更强调国土概念和国家治理。秦皇汉武巡守封禅、遍立祠畤,试图整合官方祭祀和民间信仰,创造一种政教合一的治理体系和意识形态,类似西方。但这一尝试并不成功,汉武帝死后,遭儒家反对,终于流产。
王莽之后,封禅非常礼,郊祀被缩水,只剩南北郊之祭,国退民进,导致小教派林立。东汉魏晋,释道勃兴,重新整合各种民间教派(也包括各种外来宗教),填补了这一空白。从此,中国才有了“国家大一统、宗教多元化”的局面。服从国家,信什么教都行;反叛国家,信什么教都不行,与西方正好相反。
我们说的“从山川祭祀到洞天福地”就是为了强调这一历史性转折。从此, 中国的山川祭祀,从北方转到南方,成为国家祭祀之外相对独立又配合国家祭祀的另一番天地。这就是沙畹关注的“洞天福地”。
2024年12月21日写于北京蓝旗营寓所
1.《投龙》:投龙,是将写有谢罪、祈愿的文简,与金龙、金钮、玉璧等仪式性器物用青丝捆扎,一并投入山川中的仪式,是中国古代特有的山川祭祀活动。沙畹的《投龙》是对这一仪式进行系统考察的首部论著,是研究中国古代政教关系及象征体系的奠基著作之一。
[法]沙畹 著;巫能昌 译
投龙不仅是道教仪式,还兼具国家祭祀的性质,其祈福对象往往是皇帝、国主或国家本身。这个面向在《投龙》中有充分的体现。总的来看,和《泰山》类似,《投龙》同样可以说是研究中国古代政教关系及象征体系的奠基之作。
2.《泰山:一种中国信仰专论》:“中国的山岳俱为神明。”著名汉学家亲赴泰山实地考察,拆解泰山信仰的层累历史,诠析神明崇拜的嬗变过程,探求中国人的精神世界。
山岳在中国人的精神生活中扮演着重要的角色,泰山更是在众山之中有着独特的地位和职能。
沙畹深入剖析了泰山在漫长的历史中受到尊奉的原因、泰山信仰内涵逐步变化与丰富的过程,并进一步探讨中国上古时期的宇宙观和宗教祭祀背后的文化意蕴。

每日一书:《编结茅香:来自印第安文明的古老智慧与植物的启迪》

每日一词:士有诤友,不为无义

网址:《投龙》| 一种中国古代特有的山川祭祀活动 https://www.ashwd.com/news/view/197896
相关内容
湖南永州市零陵区举行柳宗元祭祀活动小包总携刘涛亮相某活动,台上求婚这一段戏刘涛太投入了
龙年说龙 走进故宫开启寻龙之旅
龙交乡王家沟村开展民俗文化展演活动
海外龙踪 | 埃及神话中的龙
“龙抬头”的小知识:有啥吉祥寓意?什么是龙鳞饼?
一种文学史观的建构——评《文脉的演进:中国古代文学史讲录》
山川湖海出发综艺
朱一龙亮相活动引关注
老山骨灰堂“绿色祭扫”寄哀思,倡导“水溶祭祀”

